Ce este randamentul capitalului propriu (ROE) și cum îți poate îmbunătăți afacerea
- Value Vectors

- 13 sept. 2024
- 3 min de citit
Actualizată în: 28 aug. 2025

Randamentul capitalului propriu, cunoscut și sub denumirea de Return on Equity (ROE), este un indicator financiar esențial care măsoară cât de eficient folosește o companie capitalul propriu pentru a genera profit. ROE este un instrument valoros pentru evaluarea performanței financiare, atât pentru managementul intern, cât și pentru investitori. În acest articol, vom explora ce este ROE, cum se calculează și cum poate ajuta la îmbunătățirea performanței unei afaceri.
Ce este randamentul capitalului propriu (ROE)?
Randamentul capitalului propriu (ROE) măsoară profitul pe care o companie îl generează în raport cu capitalul propriu al acționarilor. Cu alte cuvinte, ROE arată cât de profitabilă este o companie în utilizarea capitalului investit de acționari pentru a genera câștiguri.
Un ROE mai mare indică faptul că o companie este mai eficientă în utilizarea resurselor proprii pentru a genera profituri, în timp ce un ROE mai mic poate sugera că există loc pentru îmbunătățiri în gestionarea capitalului.

Importanța randamentului capitalului propriu
Măsurarea eficienței: ROE arată cât de eficient este utilizat capitalul investit pentru a genera profituri. O companie cu un ROE ridicat utilizează resursele într-un mod eficient și oferă un bun randament investitorilor.
Atragerea investitorilor: investitorii caută de obicei companii cu un ROE ridicat, deoarece acest lucru indică o posibilitate mai mare de a obține profituri atractive. ROE ajută investitorii să compare diferite companii și să decidă unde să-și aloce capitalul.
Planificare și strategie financiară: pentru manageri, ROE este un indicator de performanță care îi ajută să determine dacă afacerea este gestionată eficient. Un ROE mai mare înseamnă că resursele interne sunt utilizate bine, ceea ce poate duce la decizii strategice mai bune pentru creștere.
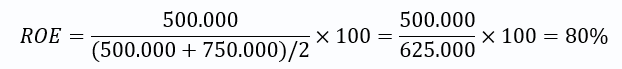
Exemplu
Să presupunem că o companie a generat un profit net de 500.000 RON în anul 2023 și deținut capitaluri proprii în valoare de 500.000 RON la finalul anului 2022 și 750.000 RON la finalul anului 2023.

Aceasta înseamnă că pentru fiecare RON investit de acționari, compania generează 80 de bani în profit.
Limitele ROE
Diferențele industriale: ROE variază semnificativ între diferite industrii. De exemplu, companiile din industria tehnologică pot avea un ROE mai mare decât cele din industria manufacturieră, datorită diferențelor în capitalul necesar pentru operare.
Impactul datoriei: o companie cu un nivel ridicat de datorii poate avea un ROE ridicat, deoarece folosirea împrumuturilor poate crește profitabilitatea. Totuși, acest lucru poate ascunde riscuri financiare mari. Este important să fie analizat și gradul de îndatorare atunci când evaluezi ROE.
Modificări temporare: ROE poate varia semnificativ de la an la an, în funcție de fluctuațiile profitului net sau de schimbările în capitalul propriu. Prin urmare, este important să fie analizat pe o perioadă mai lungă pentru a obține o imagine clară.
ROE vs. alți indicatori financiari
Deși ROE este un indicator important, nu ar trebui să fie singurul raport utilizat pentru evaluarea performanței financiare a unei companii. Alți indicatori, cum ar fi randamentul activelor (ROA) sau gradul de îndatorare, pot oferi perspective suplimentare asupra stabilității financiare a unei afaceri.
ROA măsoară eficiența unei companii în utilizarea activelor totale, în timp ce ROE se concentrează doar pe eficiența utilizării capitalului propriu.
Gradul de îndatorare arată cât de mult se bazează o companie pe datorii în raport cu capitalul propriu.
Concluzie
Randamentul capitalului propriu (ROE) este un indicator financiar esențial care măsoară eficiența cu care o companie utilizează capitalul investit de acționari pentru a genera profit. Un ROE ridicat este un semn al unei afaceri eficiente și profitabile, ceea ce poate atrage mai mulți investitori și poate ajuta la creșterea valorii companiei. Pe de altă parte, un ROE scăzut poate indica necesitatea unor îmbunătățiri în gestionarea resurselor. În orice caz, ROE oferă o imagine clară asupra performanței financiare și este un instrument valoros pentru investitori și manageri.




Comentarii